Nấm Agaricus Blazei Murill với hai công dụng tăng cường miễn dịch và chống ung thư
Nấm Agaricus blazei Murill (Agaricus Blazei) là gì?
Nấm Agaricus blazei Murill được phát hiện ở Sao Paulo Brazil và được đưa về trồng và nghiên cứu kĩ lưỡng tại Nhật Bản. Nấm Agaricus là loại nấm rất quý hiếm và có giá trị dinh dưỡng cao. Đã có rất nhiều công trình nghiên cứu được mở ra để nghiên cứu và chứng minh các tác dụng của loại nấm này.
Nấm Agaricus hay còn gọi là Nấm thái dương có màu nâu hồng, phần thịt ở mũ và trên mũ có những vảy nhỏ màu nâu sậm, đường kính mũ nấm khi còn búp là 3-4 cm, khi nở có thể lên đến 10 cm, có vòng bao. Cuống nấm Agaricus có màu trắng, có đường kính từ 1 cm trở lên, cao 6-7 cm.
Thành phần dinh dưỡng của Nấm Agaricus blazei Murill
Nấm Agaricus blazei Murill thuộc họ nấm thuốc Agaricus với hàm lượng calories thấp và giàu các khoáng chất. Nhiều nghiên cứu đã tìm ra trong 100 gram nấm Agaricus chứa 35-50 gram protein với đầy đủ những loại acid amin, vitamin và khoáng chất. Không những thế Nấm Agaricus blazei Murill còn chứa hàm lượng Beta-Glucan 1,3 và Beta-Glucan 1,6 rất cao (hai loại phân tử Beta-Glucan có nhiều tác dụng sinh học nhất).
Tác dụng của Nấm Agaricus blazei Murill với sức khỏe con người
Các nghiên cứu khoa học đã chứng minh những công dụng của Nấm Agaricus blazei Murill có thể kể đến như:
- Tăng cường hệ miễn dịch, chống lại sự hoạt động của Virus.
- Hỗ trợ điều trị ung thư thông qua đặc tính ngăn chặn sự hình thành và phát triển của khối u.
- Điều hòa lượng đường và cholesterol trong máu.
- Chống lão hóa, làm đẹp da.
- Tăng cường chuyển hóa chất, kiểm soát cân nặng, trị các bệnh về đường tiêu hóa.
- Giải độc gan, thải độc cơ thể, kiểm soát cân nặng.
1. Tác dụng hỗ trợ điều trị ung thư
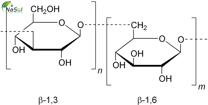
Ngoài tác dụng dinh dưỡng, Agaricus blazei Murill còn có dược tính quý trong hỗ trợ điều trị ung thư. Các khảo cứu đầu tiên xuất phát từ Nhật Bản từ 20 năm nay và khoảng 10 năm trở lại đây là Trung Quốc, Brasil, Hàn Quốc, Hoa Kỳ, Australia. Tác dụng chống ung thư của nấm Agaricus blazei Murril là chủ đề của những khảo cứu của nhiều nhóm nghiên cứu Nhật Bản. Thành phần có tác dụng chống tế bào ung thư là các polysaccharid bao gồm ß (1-3) D-glucan và ß (1-6) D-glucan có sức mạnh chống tế bào ung thư sarcoma 180.
.jpg)
(Beta-Glucan 1,3 và 1,6 được tìm thấy rất nhiều trông thành phần của Nấm Agaricus blazei Murril)
Ngoài ra ergosterol chiết xuất từ nấm có tác dụng chống khối u rất mạnh thông qua nâng cao hệ miễn dịch. Các polysaccharid này cùng ergosterol hoạt hóa mạnh mẽ các đại thực bào, làm tăng hàm lượng các cytokin và tương tác với các tế bào lympho T, NK khởi động các phản ứng miễn dịch đặc hiệu đồng thời kích thích sự gia tăng các tế bào sát thủ tự nhiên chuyên tìm diệt các tế bào lạ (ung thư).
Nấm Agaricus Blazei Murill chứa ß (1-6 ) D-glucan cao hơn bất kỳ một loại nấm nào khác và được xác nhận có khả năng gia tăng chức năng đáp ứng miễn dịch chống lại hầu hết các tế bào lạ trong cơ thể. Từ năm 1968 Takashi Mizuno, một nhà nghiên cứu về nấm nổi tiếng của Nhật Bản đã khảo cứu các hợp chất sinh học trong các loài nấm, đặc biệt là những polysaccharid có tác dụng chống khối u. Năm 1995 ông đã giới thiệu kết quả khảo cứu về nấm Agaricus Blazei Murill như sau: Hiệp hội ung thư Nhật Bản đã chứng minh rằng polysaccharid của một số loài nấm có tác dụng trên các dạng ung thư thể rắn trong khi polysaccharid của nấm Agaricus Blazei Murill không chỉ có tác dụng trên ung thư thể rắn mà còn có hiệu quả trên ung thư biểu bì, ung thư buồng trứng, ung thư vú, ung thư phổi và ung thư gan.

“Tác dụng chống khối u phi thường được tìm thấy trong glycoprotein FIII-2-b chiết xuất từ quả thể nấm Agaricus Blazei Murill . Đây là phức hợp glucan-protein lần đầu tiên được tìm thấy trong nấm ăn”.
Theo các công trình nghiên cứu tại Viện nghiên cứu ung thư quốc gia Nhật Bản, phối hợp với Viện đại học y và đại học dược Tokyo cho thấy nấm Agaricus blazei Murril có hiệu quả phòng ung thư đến 99% và hiệu quả điều trị đạt 90% với liều 10 mg tinh chất/ngày trong khi các loài nấm khác dùng với liều 30 mg tinh chất/ngày nhưng tác dụng không cao bằng.
2. Tăng cường và điều hòa hệ miễn dịch
Beta Glucan có trong thành phần của Nấm Agaricus blazei Murill giúp tăng sản sinh ra chất interferion, chất chống virus tự nhiên của cơ thể con người từ đó giúp tăng cường miễn dịch.
Không chỉ thế Beta Glucan còn giúp gia tăng các đại thực bào và tăng hàm lương cytokin – đây là protein tối quan trọng giúp xúc tác và điều hòa hàng loạt các phản ứng miễn dịch của cơ thể. Không những thế, các đại thực bào còn tương tác với các tế bào lympho T, NK giúp khởi động các phản ứng miễn dịch đặc hiệu.
Hiện nay, Agaricus Blazei Murill được công nhận rộng rãi là một loại thực phẩm có lợi cho sức khỏe, đặc biệt hiếm có trong mục đích chống ung thư, gia tăng hệ miễn dịch và cũng được lưu ý trong điều trị bệnh AIDS.
Mỗi năm tại Nhật có từ 300.000 – 500.000 người dùng Agaricus Blazei Murill để ngăn ngừa các bệnh ung thư với liều dùng nước chiết Agaricus Blazei Murill 3 – 5 g/lần, dùng 3 lần/ngày . TS. Inosuke Iwade là người trồng thành công Agaricus Blazei Murill lần đầu tiên trên thế giới vào năm 1975 tại Nhật Bản. Hiện nay các nước Trung Quốc, Hàn Quốc, Mỹ, Brazil đều đã trồng và sử dụng nấm này. Nhật Bản đứng đầu thế giới về tiêu thụ Agaricus Blazei Murill . Gần 90% sản lượng nấm Agaricus Blazei Murill của Brazil (60 tấn khô/năm) được xuất sang Nhật Bản .
Điểm đặc biệt khác với các loại nấm mỡ trong chi Agaricus, là nấm trồng được ở xứ nóng. Nấm Agaricus Blazei Murill trồng được ở nhiệt độ môi trường từ 250C-270C, trong khi các loài Agaricus khác chỉ trồng được ở nhiệt độ từ 160C- 210C. Nấm được trồng bằng các chất hoại sinh phân hủy thứ cấp như rơm rạ…
Thông tin chi tiết vui lòng liên hệ:
Công ty TNHH Dược Phẩm Nasol Quốc Tế
Hotline: 0387 368 760
Email: info@nasol.com.vn Web: nasol.com.vn
Tin tức khác
- Axit Boswellic là gì? ứng dụng trong điều trị bệnh mãn tính
- Ngải cứu trắng (Artemisia herba-alba) là gì?
- Hồ đằng bốn cạnh (Cissus quadrangularis) là gì?
- Cỏ xạ hương (Thyme): thành phần hóa học và đặc tính trị liệu
- Phong lữ châu Phi: Thảo dược điều trị nhiễm trùng đường hô hấp
- Rosavin là gì? Nguồn gốc và các lợi ích sức khỏe
- Rễ Kava chữa rối loạn lo âu như thế nào?
- Curuminoid là gì? Cấu trúc nguồn gốc và ứng dụng thực tế
- Lợi ích sức khỏe của nghệ đen (Curcuma phaeocaulis)
- Lá Boldo (Peumus boldus): thành phần và công dụng
Tin nổi bật
Những lưu ý khi sử dụng Dầu nhuyễn thể
20/09/2021
Lợi ích sức khỏe của Tía tô đất (Lemon Balm)
17/09/2021

.jpg)